tester

Uso de cookies

Utilizamos Cookies para mejorar y analizar tu experiencia de navegación en nuestro sitio web. Puedes aceptarlas todas, rechazarlas o elegir tu configuración pulsando los botones correspondientes. Ten en cuenta que rechazar las cookies puede afectar a tu experiencia de navegación. Para más información puedes consultar nuestra Política de Cookies.

Configurar las cookies

Las cookies son una parte esencial de cómo funciona nuestra web. El objetivo principal de las cookies es que tu experiencia de navegación sea más cómoda y eficiente y poder mejorar nuestros servicios y la propia web.
Aquí podrás obtener toda la información sobre las cookies que utilizamos y podrás activar y/o desactivar las mismas de acuerdo con tus preferencias, salvo aquellas Cookies que son estrictamente necesarias para el funcionamiento de la web. El bloqueo de algunas cookies puede afectar tu experiencia en la web y el funcionamiento de la misma. Para más información puedes visitar nuestra Política de Cookies.

Cookies estrictamente necesarias (técnicas)

Estas Cookies son necesarias para que el sitio web funcione y no se pueden desactivar en nuestros sistemas. Por lo general, solo se establecen en respuesta a aquellas acciones que puedas realizar como una solicitud de servicios, establecer tus preferencias de privacidad, iniciar sesión o completar formularios. Puedes configurar tu navegador para que bloquee o te avise sobre estas cookies, pero algunas partes del sitio web no funcionarán. Información sobre las Cookies

Cookies analíticas

Estas Cookies nos permiten contabilizar el número de visitas y las fuentes de tráfico para que podamos medir y mejorar el rendimiento de nuestro sitio. Nos ayudan a saber que paginas son las más populares y menos populares, y ver como los visitantes se mueven por el sitio web. Toda la información que recopilan estas Cookies es agregada por lo tanto, anónima. Si no permites estas Cookies no sabremos cuándo visitaste nuestro sitio web. Información sobre las Cookies

Cookies a terceros

Estas cookies se utilizan para el análisis de tu actividad con el fin de mostrarte anuncios personalizados. Información sobre las Cookies

Acepto Rechazar Configurar las cookies Confirmar selección
Buscar
×
Notas
Buscar
No hay notas
  • 2. Potencias y raíces
  • Para personalizar Lápiz pulsa Alt + flecha hacia abajo
  • Para personalizar Subrayar pulsa Alt + flecha hacia abajo

    Cambiar tema

    Error - verifique su conexión a Internet...
    Atrás

    Blink Help

    x
    Error - verifique su conexión a Internet...

    ¿Cómo podemos ayudarte?

    Sin resultados

    Ver manual completo

    ¿No has solucionado tu duda?

    Describe con el mayor detalle posible tu pregunta:

    Grosor:
    Tamaño del texto:
    Filtrar
      No se han encontrado recursos
      Tamaño del texto:
      Modo revisión

      Modo revisión

      2. Potencias y raíces
      2. Potencias y raíces
      Sin sonido de fondo
      Logo

       

      Las matemáticas siempre fueron una herramienta para resolver problemas cotidianos. ¿Cuánto mide este terreno?  Cómo hemos de repartirnos la cosecha? ¿Cómo utilizar las estrellas para orientarnos?

      Hasta el siglo VI a.C. no aparecen los primeros matemáticos teóricos, estudiosos interesados por la investigación y el desarrollo de la ciencia, independientemente de su utilidad práctica.

      El primer gran teórico de las matemáticas fue Pitágoras. Este griego, gran viajero, acabó asentándose en el sur de Italia, donde fundó una secta místico-científica que rendía culto a la astronomía.

      Tres siglos después aparece en escena Arquímedes, nacido en la colonia griega de Siracusa, en Sicilia (actual Italia).  demás de gran matemático, fue un extraordinario calculista. Y gracias a esto, ideó un sistema para describir números enormes. Estaba basado en la potencias de base 10, que estudiarás en esta unidad.

      Números cuadrados y números cúbicos

      Ya hemos comentado que los pitagóricos, en sus investigaciones sobre las propiedades de los números, los relacionaron con la geometría. Así hablaban de los números cuadrados y de los números cúbicos. A continuación puedes ver los primeros de unos y de otros:

      NÚMEROS CUADRADOS

      NÚMEROS CÚBICOS

       

      1. Escribe los tres términos siguientes de cada una de las series anteriores.

      1. Calcula A100 y B100.

      Suma de impares

      Observa y comprueba la siguiente relación pitagórica:

      Cualquier número cuadrado se puede expresar como suma de unos cuantos de los primeros números impares.

      1. Según esto, calcula:

      a) La suma de los siete primeros números impares.

      S7 = 1 + 3 + 5 + 7 + 9 + 11 + 13

      b) La suma de los diez primeros números impares (S10).

      1. ¿Cómo calcularías, de forma rápida y sencilla, la suma de los cien primeros impares?

      S100 = 1 + 3 + 5 + + 199

      2. Potencias y raíces
      2. Potencias y raíces
      Sin sonido de fondo
      Logo

      1 Potencias

      Una potencia es una forma abreviada de escribir un producto de factores iguales:

      a · a · a · a · a = a5

      En las potencias, el factor repetido se llama base, y el número de veces que se repite, exponente.

         Concepto de potencia.

      Ejemplos
      • Expresar cada producto en forma de potencia:

      a) 3 · 3 · 3 · 3 = 34 → Tres elevado a cuatro o tres elevado a la cuarta.

      b) 2 · 2 · 2 · 2 · 2 = 25 → Dos elevado a cinco o dos elevado a la quinta.

      • •Calcular estas potencias.

      a) 73 = 7 · 7 · 7 = 343

      b) 104 = 10 · 10 · 10 · 10 = 10 000

      Dos potencias especiales: el cuadrado y el cubo

      Elevar un número a la potencia de exponente 2 es elevar al cuadrado.

      Por ejemplo: 72 = 7 · 7 = 49 → El cuadrado de 7 es 49.

      Elevar un número a la potencia de exponente 3 es elevar al cubo.

      Por ejemplo: 73 = 7 · 7 · 7 = 343 → El cubo de 7 es 343.

      Las potencias en la calculadora

      Las potencias, excepto en los casos más sencillos, arrojan como resultados números grandes.

      Por ejemplo:

      96 = 9 · 9 · 9 · 9 · 9 · 9 = 81 · 9 · 9 · 9 · 9 = 729 · 9 · 9 · 9 = ... = 531 441

      Estos cálculos resultan rutinarios y molestos, por lo que suelen hacerse con una calculadora.

      • •En las calculadoras sencillas, utilizaremos las teclas  e .

      • En una calculadora científica, utilizaremos la tecla .

      NOTA: Cuando el resultado es muy grande y no cabe en la pantalla, las calculadoras sencillas dan error mientras que las científicas lo dan en formatos como este:

      que significa que el número decimal de la pantalla hay que multiplicarlo 13 veces por 10 (esto es, desplazar la coma decimal 13 lugares a la derecha).

      Números y geometría 

      EL CUADRADO

      El cuadrado de 5 es 52= 5 · 5 = 25
      (25 cuadraditos).

      EL CUBO

      El cubo de 5 es 53= 5 · 5 · 5 = 125
      (125 cubitos). 

      ¿Cómo representarías geométricamente los números 32 y 33? ¿Serías capaz de idear una forma de representar también 34?

      Practica el concepto de potencia y algunos cálculos sencillos.

      1. Expresa con una potencia.

      a) 6 · 6=   

      c )7 · 7 =  

      e) 10 · 10 · 10  =   

      g) 3 · 3 · 3 · 3 · 3 · 3 =

      b) 6 · 6 · 6=

      d) 5 · 5=  

      f) 4 · 4 · 4 · 4=  

      h) 10 · 10 · 10 · 10 · 10=  

      1. Lee estas potencias y exprésalas como producto:

      a) 34=

      c) 93=

      e) 106=

      b) 27=

      d) 152=

      f) 204=

      1. Completa la tabla.
      Potencia Base Exponente
      26
      5 3
      a4
      m 5
      1. Calcula mentalmente y ordena de mayor a menor.

      a) 23=

      b) 52=

      c) 43=

      d) 203=

      e) 104=

      f) 112=

      1. Calcula .

      a) 28 =

      c) 123 =

      e) 152 =

      g) 123 =

      i) 1003 =

      b) 35 =

      d)94 =

      f) 852 =

      h) 304 =

      1. Obtén estas potencias con ayuda de la calculadora:

      a) 115 =

      c) 374 =

      e) 1014 =

      b) 623 =

      d) 1363 =

      f) 1404 =

      1. Escribe el valor de cada exponente:

      a) 2x  = 64 x =

      b) 3 y = 81 y =

      c)6z = 3 z =

      d) 8m = 512 m =

      e) 10n = 10 00 n =

      f) 30t = 810 000 t =

       

      1. Calcula el valor de la base, a, en cada caso:

      a) a4 = 16  a =

      b) a2 = 25 a =

      c) a3 = 64 a =

      d) a4 = 2 401 a =

      e) a3 = 1 000 a =

      f) a10 = 1 024 a =

       

      1. Escribe los cuadrados de los veinte primeros números naturales.

      1. Calcula expresando el proceso paso a paso.

      a) 82 + 8 =

      b) 33 – 32 =

      c) 53 – 52 + 5 =

      d) (92 – 72)+ 42 =

      e) (26 – 24)5 – 24 =

      f) (82 – 72)2 – 2 · 102 – 25 =

       

      1. ¿Verdadero o falso?

      a) Elevar un número al cubo es igual que multiplicarlo por sí mismo tres veces. →

      b) Elevar a la cuarta es como multiplicar por cuatro. →

      c) El cuadrado de 10 es 20. →

      d) El cubo de 10 es 1 000. →

      e) Trece a la quinta es igual que cinco elevado a trece. →

      1. Álvaro dibuja tres cuadrados, uno de 5 cm de lado, otro de 12 cm de lado y el tercero de 13 cm de lado. Después colorea de rojo los dos primeros y de verde el último. ¿Qué superficie es mayor, la verde o la roja?

      1. Recorta en papel cuadriculado dos cuadrados, uno de diez cuadrados de lado y otro de cinco.

      ¿Hay en el primero el doble de cuadrados que en el segundo? Explica tu respuesta.

      1. Estos edificios tienen el mismo número de ventanas en todas sus caras. Expresa con una potencia de base cinco, y calcula, cuántas hay en total.

      1. Expresa con potencias el número de cubos unitarios que hay en cada construcción poli-cubo:

      2. Potencias y raíces
      2. Potencias y raíces
      Sin sonido de fondo
      Logo

      2 Potencias de base 10. Aplicaciones

      Ya sabes que para multiplicar por 10 basta añadir un cero. Así:

      Una potencia de base 10 es igual a la unidad seguida de tantos ceros como indica el exponente.

      Reflexiona

      ¿Qué es más cómodo de escribir y de interpretar?

      Expresión abreviada de números grandes

      Los números terminados en ceros pueden expresarse como producto de un número por una potencia de base 10.

      Por ejemplo: 400 000 = 4 · 100 000 = 4 · 105

      Este recurso facilita la expresión y la comprensión de números muy grandes.

      Ejemplo

      Un año luz: 9 460 800 000 000 km. Observa las transformaciones que hacemos para que esta cantidad sea más fácil de leer, de escribir y de recordar:

      • •Redondeamos, dejando dos cifras significativas → 9 500 000 000 000
      • Descomponemos en producto → 95 · 100 000 000 000
      • Expresamos el segundo factor como una potencia de base 10 → 95 · 1011

      Un año luz equivale a 95 · 1011 km.

      Practica la aproximación de números grandes utilizando potencias de base 10.

      Descomposición polinómica de un número

      La descomposición de un número según el valor posicional de sus cifras, y lo que has aprendido sobre las potencias de base 10, permiten la transformación que muestra el ejemplo siguiente. Es la descomposición polinómica del número.

      1. Escribe como potencias de base 10.

      a) Un millar. 

      b) Un millón.

      c) Mil millones.

      d) Un billón.

      1. Expresa con todas sus cifras.

      a) 4 · 105 =

      b) 15 · 109 =

      c) 86 · 1014 =

      1. Escribe el valor de x en cada caso:

      a) 2 936 428 ≈ 29 · 10 x                x=

      b) 3 601 294 835 ≈ 36 · 10 x             x=

      c) 19 570 000 000 000 ≈ 20 · 10 x         x=

      1. Realiza la descomposición polinómica de los siguientes números:

      a) 74 238

      b) 680 290

      c) 4 528 92

      d) 46 350 000

      1. Escribe en notación abreviada los datos que siguen:

      a) El número de moléculas elementales en un litro de agua es 334 326 000 000 000 000 000 000.

      b) Las estrellas Alfa Centauri están a unos cuarenta billones de kilómetros del Sol.

      2. Potencias y raíces
      2. Potencias y raíces
      Sin sonido de fondo
      Logo

      3 Operaciones con potencias

      Vas a aprender ahora algunas propiedades que facilitan el cálculo con potencias. Por eso, es conveniente que las entiendas, las memorices y ensayes su aplicación en diferentes situaciones.

      Potencia de un producto
      (Producto de potencias con el mismo exponente)

      Compara las dos expresiones siguientes y observa que en ambas se obtiene el mismo resultado.

      • •(2 · 3)3 = 63 = 6 · 6 · 6 = 216
      • 23 · 33 = (2 · 2 · 2) · (3 · 3 · 3) = 8 · 27 = 216

      O también:

      • •23 · 33 = (2 · 2 · 2) · (3 · 3 · 3) = (2 · 3) · (2 · 3) · (2 · 3) = (2 · 3)3

      La potencia de un producto es igual al producto de las potencias de los factores. → (a · b)n = an · bn

      No te confundas

      (2 + 3)4= 54 = 625
      24+ 34 = 16 + 81 = 97
      (2 + 3)4≠ 24+ 34

      La potencia de una suma (o una resta) NO ES IGUALa la suma de las potencias de los sumandos.

      (a+ b)n≠ an+ bn
      (a– b)n≠ an– bn

      Potencia de un cociente
      (Cociente de potencias con el mismo exponente)

      Observa otras dos expresiones que también tienen el mismo valor.

      • •(6 : 3)3 = 23 = 2 · 2 · 2 = 8
      • 63 : 33 = (6 · 6 · 6) : (3 · 3 · 3) = 216 : 27 = 8

      O también:

      • •63 : 33 = (6 · 6 · 6) : (3 · 3 · 3) = (6 : 3) · (6 : 3) · (6 : 3) = (6 : 3)3

      La potencia de un cociente es igual al cociente de las potencias del dividendo y del divisor. → (a : b)n = an : bn

      Ejercicios resueltos

      1. Calcular, por el camino más sencillo, 5 6 · 2 6.

      Antes de operar sin más, observamos que es un producto de potencias con el mismo exponente. Aplicamos la primera propiedad:

      56 · 26 = (5 · 2)6 = 106 = 1 000 000

      2. Buscar la forma más sencilla para calcular 12 3 : 4 3.

      Vemos que es un cociente de potencias con el mismo exponente. Ahorramos operaciones si aplicamos la segunda propiedad:

      123 : 43 = (12 : 4)3 = 33 = 27

      3. Calcular (6 4 · 5 4) : 15 4.

      Aplicamos la primera propiedad dentro del paréntesis: 64 · 54 = (6 · 5)4 = 304

      A continuación, la segunda propiedad: 304 : 154 = (30 : 15)4 = 24
      Y lo presentamos todo, en conjunto, así:

      (64 · 54) : 154 = (6 · 5)4 : 154 = 304 : 154 = (30 : 15)4 = 24 = 2 · 2 · 2 · 2 = 16

      Producto de potencias de la misma base

      Al multiplicar dos potencias del mismo número, se obtiene otra potencia de dicho número.

      Observa que el exponente del producto final es la suma de los exponentes de los factores.

      Para multiplicar dos potencias de la misma base, se deja la base y se suman los exponentes. → am · an = am + n

      Practica el producto de potencias de la misma base.

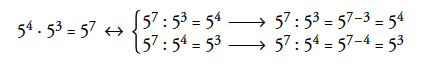
      Cociente de potencias de la misma base

      Recordando las relaciones entre la multiplicación y la división, tenemos que:

      Observa que el exponente de cada cociente es la diferencia entre el exponente del dividendo y el exponente del divisor.

      Para dividir dos potencias de la misma base, se deja la base y se restan los exponentes. → am : an = am – n

      Practica el cociente de potencias de la misma base.

      Potencia de otra potencia

      Al elevar una potencia a otra potencia, se obtiene una nueva potencia de la misma base.

      (54)3 = 54 · 54 · 54 = 54 + 4 + 4 = 54 · 3 = 512

      Observa que el exponente final es el producto de los exponentes de la expresión inicial.

      Para elevar una potencia a otra potencia, se deja la misma base y se multiplican los exponentes. → (an)m = an · m

      Practica la potencia de otra potencia.

      Practica las operaciones con potencias.

      1. Calcular, con la ayuda de las propiedades:

      (83)2 : (83 · 82)

      En el primer paréntesis aplicamos la potencia de otra potencia: (83)2 = 83 · 2 = 86

      Y en el segundo, el producto de potencias de la misma base: 83 · 82 = 83 + 2 = 85

      Y terminamos restando exponentes para dividir dos potencias de la misma base:

      (83)2 : (83 · 82) = 86 : 85 = 86 – 5 = 81 = 8

      2. Reducir a una sola potencia.

      (a2 · a)4 : (a6 : a3)3

      Reducimos los paréntesis, aplicando el producto y el cociente de potencias de la misma base: (a2 + 1)4 : (a6 – 3)3 = (a3)4 : (a3)3

      Avanzamos aplicando la potencia de otra potencia: a3 · 4 : a3 · 3 = a12 : a9

      Y terminamos con el cociente de potencias de la misma base: a12 – 9 = a3

      Resumiendo: (a2 · a)4 : (a6 : a3)3 = (a3)4 : (a3)3 = a12 : a9 = a12 – 9 = a3

      Potencia de exponente cero

      Observa lo que ocurre cuando dividimos una potencia cualquiera, por ejemplo 53, entre sí misma:

      • •Aplicando la propiedad del cociente → 53 : 53 = 53 – 3 = 50 → 50 = 1
      • •Aplicando el cálculo habitual → 53 : 53 = 125 : 125 = 1 → 50 = 1

      Así, a 50 le asignamos el valor 1.

      La potencia cero de un número (distinto de cero) es igual a uno. → a0 = 1 (a ≠ 0)

      Por ejemplo:

      20 = 1              80 = 1              100 = 1               340 = 1

      Practica las operaciones con potencias.

      1. Completa , como en el ejemplo.

      (4 ·3)2 = 122 = 144

      42 · 32 = 16 · 9 = 144
      ↓

      (4 · 3 )2 =  42 · 32

      a) (3 · 5)2 =

           32 · 52 =

      ↓

       

      c) (12 : 3)2 =

           122 : 32 =

      ↓

      b) (4 · 2)3 =

           43 · 23=

      ↓

       

      d) (20 : 4)3 =

           203 : 43 =

      ↓

       

      1. Reflexiona y calcula de la forma más sencilla.

      a) 53 · 23 =

      c) 252 · 42 =

      e) 165 : 85 =

      g) 214 : 74 =

      i) 1003 : 503 =

      b) 42 · 52 =

      d) 203 · 53 =

      f) 183 : 63 =

      h) 352 : 52 =

       

         
      1. Calcula.

      a) (25 · 35) : 65 =

      c) (803 : 83) : 53 =

      e) (82 · 122) : (62 · 82) = 

      b) (64 · 34) : 94 =

      d) (482 : 22) : 62 =

      f) (33 · 43) : (203 : 53) =

         
      1. Calcula y observa que los resultados no coinciden.

      a) (6 + 4)2=    62 + 42=

      b) (5 + 2)3 =      53 + 23=

      1. Sustituye cada casilla por el signo “=” o “≠”, según corresponda:

      a) (4 + 1)3 43 + 13

      b) (4 + 1)3 53

      c) (6 – 2)4 6 4 – 24

      d) 73 (10 – 3)3

      e) 102 52 · 22

      f)104 52 · 22

      g) (12 : 3)2 122 : 32

      h) 127 : 32 45

       

      1. Reduce a una sola potencia.

      a) 52 · 52 =

      c) 105 · 102 =

      e) m7 · m =

      b) 32 · 35 =

      d) a5 · a5 =

      f ) x2 · x6 =

       

      1. Expresa con una única potencia.

      a) (52)3 =

      c) (103)3 =

      e) (m2)6 =

      b) (25)2 =

      d) (a5)3 =

      f ) (x4)4 =

       

      1.  Reduce a una única potencia.

      a) 26 : 22 =

      c) 107 : 106 =

      e) (m2)6 =

      b) 38 : 35 =

      d) a10 : a6 =

      f ) (x4)4 =

       

      1. Reduce.

      a) x · x2 · x3 =

      c) (k9 : k5) : k3 =

      e) m6 : (m8 : m4) =

      g) (x2)5 : x7 =

      i) (k2)6 : (k3)4 =

      b) m2 · m4 · m4 =

      d) (x5 : x3) : x2 =

      f ) (k2 · k5) : k6 =

      h) m10 : (m3)3 =

      j) (x5 : x3)2 =

       

      1. Resuelve estas expresiones con operaciones combinadas:

      a) 62 + 22 – 22 + 5

      b) 24 – 38 : 36 – 22

      c) 10 + (52)3 : (53)2

      d) (105 : 55) – (22 · 22)

      e) [(8 – 5)2 · (9 – 6)3] : 35

      f) [(7 – 4)3 – (9 – 4)2]4

      2. Potencias y raíces
      2. Potencias y raíces
      Sin sonido de fondo
      Logo

      4 Raíz cuadrada

       Calcular la raíz cuadrada es hacer la operación inversa de elevar al cuadrado.

      b2 = a ⟷ √a =b

      Ejemplos

      • •42 = 16 → √16 = 4 → La raíz cuadrada de 16 es 4.
      • •152 = 225 → √225 = 15 → La raíz cuadrada de 225 es 15.

      Raíces exactas y raíces enteras

      Los cuadrados de los números naturales se llaman cuadrados perfectos:

      La raíz cuadrada de un cuadrado perfecto es una raíz exacta.

      Por ejemplo, son raíces exactas las siguientes:

      √9 = 3           √121 =11           √400 = 20

      • •Sin embargo, para la mayoría de los números, la raíz no coincide con una cantidad exacta de unidades enteras.

      Busquemos, por ejemplo, la raíz de 40:

      No lo olvides

      Te conviene memorizar los primeros cuadrados perfectos.

      Al número natural que más se aproxima, por debajo, a la raíz, lo llamamos raíz entera.

      √40 ≈ 6 → La raíz entera de 40 es 6.

       

      Ejercicios resueltos
      1. Calcular mentalmente √900.

      x2 = 900 → 302 = √900 → = 30 → Raíz exacta

      372 = 1 369
      382 = 1 444
      392 = 1 521
      402 = 1 600

      1. Teniendo en cuenta los datos del cuadro, calcular , y √1440, √1444 y √1580.

      √1440 → Raíz entera

      √1444→ Raíz exacta

      √1580→ Raíz entera

      Cálculo de la raíz cuadrada por tanteo

      Con lo que ya sabes, puedes calcular raíces mediante el tanteo. Esta técnica te ayudará a aclarar ideas y a fijar el concepto. Más tarde aprenderás otras técnicas más rápidas.

      Ejemplo

      Calcular, por tanteo, √3 900 .

      Por tanto: 62 <√ 3 900 < 63

      La raíz cuadrada de 3 900 es un número comprendido entre 62 y 63.

      √3900 ≈ 62 → La raíz entera de3 900 es 62.

       Practica el cálculo de la raíz entera.

      1. Copia y completa, como en el ejemplo.
      • •√ 25 = 5  → La raíz de 25 es igual a 5.

      a) √ 49 = 7  →

      b) √64 = →

      c) √81 = →

      d) √121 = →

      1. Calcula mentalmente.

      a) √4 =

      d) √400 =

      g) √6 400 =

      b) √9 =

      e) √900 =

      h) √8100 =

      c) √36 =

      f ) √3 600 =

      i) √10 000 =

           
      1. Calcula la raíz entera en cada caso:

      a) √5 =

      d) √32 =

      g) √68 =

      b) √10 =

      e) √39 =

      h) √92 =

      c) √24 =

      f ) √50 =

      i) √105 =

           
      1. Escribe los cuadrados perfectos comprendidos entre 200 y 900.

      1. Calcula, teniendo en cuenta los resultados del ejercicio anterior.

      a) √289 =

      c) √2 725 =

      e) √2 916 =

       

      b) √2 601 =

      d) √2 815 =

      f ) √2 929 =

      1. Observa el cuadro y calcula indicando si la raíz es exacta o entera.
      502 = 2 500 512 = 2 601 522 = 2 704
      532 = 2 809 542 = 2 916 552 = 3 025

       

      a) √2 550 =

      c) √2 725 =

      e) √2 916 =

       

       

      b) √2 601 =

      d) √2 815 =

      f ) √2 929 =

      1. Calcula por tanteo.

      a) √90 =

      c) √700 =

      e) √6 816 =

      b) √150 =

      d) √1521 =

      f ) √10 816 =

      1. Resuelve.

      a) √121 – √100 + √81

      b) (4 · √25 – 5 · √9) : 5

      c) √43 – 25 – √52 + 7

      d) (8 – 6)6 : √44

      Algoritmo para el cálculo de la raíz cuadrada

      Para calcular con lápiz y papel una raíz cuadrada, sigue los pasos que se describen a continuación:

      Ejemplo

      Vamos a calcular : estilo tamaño 14px raíz cuadrada de 105674 fin estilo:

      1 Separamos de dos en dos, desde la derecha, las cifras del radicando, y calculamos la raíz del paquete de la izquierda (√10...).

      2 Bajamos el paquete siguiente (56) y buscamos la cifra envoltorio caja c , de forma que 6 envoltorio caja c espacio multiplicación en cruz espacio envoltorio caja c sea lo más próximo a 156, sin sobrepasarlo.

       

      3 Subimos el valor envoltorio caja c = 2 al campo de la solución, bajamos el siguiente paquete (74) y repetimos el proceso.

      4 Subimos el valor d = 5 al campo de la solución.

      Solución:

      estilo tamaño 14px raíz cuadrada de 105674 fin estilo = 325

      Prueba: 3252 + 49 = 105 674

      Utiliza la calculadora

      • En algunas calculadoras, la sucesión de teclas para calcular estilo tamaño 14px raíz cuadrada de 105674 fin estilo es:

      • En otras, es la siguiente:

      Practica el algoritmo de la raíz cuadrada. 

      1. Completa las siguientes raíces resueltas mediante el algoritmo:

      1. Calcula con lápiz y papel y, después, comprueba con la calculadora.

      a) √1444

      c) √2 945

      e) √20 164

      b) √2 025

      d) √3 974

      f ) √126 782

       

      1.     Obtén con ayuda de la calculadora.

      a) √2 936 =

      b) √10 568 =

      c) √528 471 =

      2. Potencias y raíces
      2. Potencias y raíces
      Sin sonido de fondo
      Logo

      Ejercicios y problemas

      Cálculo de potencias

      1. Calcula mentalmente.

      a) 24                   b) 63                   c) 35                   d) 204                   d) 300

       

      1. Completa.

      a) 3 = 8 000

      c) 4 = 10 000

       

      b) 2 = 4 900

      d) 4 = 160 000

      1. Calcula el exponente en cada caso:

      a) 2x = 256 → x =

      c) 7x = 2 400 → x =

      b) 10x = 10 000 → x =

      d) 13x = 2 197 → x =

       

      1. Calcula con lápiz y papel.

      a) 55             b) 95             c) 110             d) 153             e) 164

       

      1. Obtén con la calculadora.

      a) 412 =

      b) 510 =

      c) 453 =

      d) 674 =

      d) 993 =

       

      1. Escribe todos los cuadrados perfectos comprendidos entre 1 000 y 1 500.

      Potencias de base 10.
      Expresión abreviada de números grandes

       

      1. Escribe con todas sus cifras.

      a) 102 =

      b) 106 =

      c) 1010 =

      d) 1012 =

      d) 1016 =

       

      1. Escribe como potencia de base 10.

      a) Cien. →

      c) Cien billones. →

       

      b) Cien millones. →

      d) Cien mil billones. →

       

      1. Expresa con todas sus cifras.

      a) 13 · 107 =

      b) 34 · 109 =

      c) 62 · 1011 =

       

      1. Transforma como el ejemplo.
      • • 180 000 = 18 · 104

      a)5 000 =  · b)1 700 000 =  · c)4 000 000 000 =  ·

       

      1. En un kilómetro hay 10 3 = 1 000 metros, y en un metro hay 102 = 100 centímetros.

      Expresa, de la misma forma, los centímetros que hay en un kilómetro.

       

      1. Redondea a la centena de millar y escribe abreviadamente con el apoyo de una potencia de base 10 el número de habitantes de cada una de estas ciudades:

      ROMA: 2 823 201

      MADRID: 3 234 359

      PARÍS: 11 837 743

      EL CAIRO: 16 248 530

       

      1. Ordena, de menor a mayor, estas cantidades:

       

      1. Escribe en la notación abreviada, con ayuda de una potencia de base 10.

      a) Ocho mil quinientos millones. →

      b) Dos billones, trescientos mil millones. →

      c) Cuatro trillones, novecientos mil billones. →

       

      Operaciones con potencias

       

      1. Calcula.

      a) 72 – 62 + 52 – 42

      b) (5 – 4 + 2 – 1)3

      c) (10 – 6)2 – (10 – 8)3

      d) 34 – (5 – 3)2 – (23)2

      e) (13 – 3)2 · (7 + 3)2 + (15 – 5)2 · 10

       

      1. Calcula de la forma más sencilla.

      a) 82 · 52

      b) 26 · 56

      c) 253 · 43

      d) 65 : 35

      e) 153 : 53

      f) 204 : 54

       

      1. Completa las casillas vacías.

      a) 52 · 53 = 5

      c) a5 · a3 = a

      e) 26 : 24 = 2

      g) a9 : a8 = a

      i) (42)3 = 4

      k) (a2)2 = a

      b) 64 · 63 = 6

      d) m3 · m = m9

      f ) 78 : 75 = 7

      h) m8 : m = m6

      j) (53)3 = 5

      l) (m4) = m12

       

      1. Reflexiona sobre estos enunciados y tradúcelos a igualdades o desigualdades matemáticas:

      a) Potencia de un producto. ↔ Producto de las potencias de los factores.

      b) Potencia de una suma. ↔ Suma de las potencias de los sumandos.

      c) Producto de potencias de igual base. ↔ La misma base elevada a la suma de exponentes.

      d) Potencia de potencia. ↔ La misma base elevada al producto de los exponentes.

      e) Potencia de exponente cero. ↔ Uno.

       

      1. Reduce estas expresiones:

      a) x8 : x3 =

      c) (k2)4 =

      e) (m3)2 =

      b) m4 · m2 =

      d) x5 · x5 =

      f ) k6 : k4 =

       

      1. Calcula.

      a) 364 : (24 · 94)

      b) (24 · 25) : 29

      c) (155 : 55) : 33

      d) 129 : (47 · 37)

      e) (43 · 45) : (44 · 42)

      f) (307 : 57) : (25 · 35)

      1. Reduce a una sola potencia.

      a) (x5 : x) · x2

      b) (m7 : m4) : m3

      c) (x2)4 : (x2)3

      d) (m4)3 : (m5)2

      e) (a3 · a5) : (a · a4)

      f) (x3 : x2) · (x4 · x3)

       

      1. Ejercicio resuelto

      Reducir a una sola potencia y, después, calcular:

      164 : 45

      164 : 45 = (42)4 : 45 = 48 : 45 = 48 – 5 = 43 = 64

       

      1. Reduce a una sola potencia y, después, calcula.

      a) 210 : 44

      b) 36 : 92

      c) 253 : 54

      d) (23 · 42) : 8

      e) (34 · 92) : 272

      f) (55 · 53) : 253

       

      Raíz cuadrada

       

      1. Calcula, por tanteo, la raíz exacta o la entera.

      a) √90 =        b) √121 =        c) √1785 =

       

      1. Resuelve con la calculadora.

      a) √655 =

      c) √1369 =

      e) √12 664 =

      b) √1024 =

      d) √4 225 =

      f ) √33 856 =

       

      1. Copia los cuadrados perfectos:

      1 000       1 225       1 600       1 724       1 601       2 464

      3 364       3 540       3 773       3 844       4 000       5 625

       

      1. Resuelve.

      a) √ 52 + 122 – (5√ 2)2

      b) (√2)4 + (√3)2 - 50

       

      Aprende a resolver problemas

      Marta ha comprado cinco hojas con cuarenta pegatinas cada una y ha decorado el cubo pequeño. ¿Le quedan suficientes pegatinas para decorar de la misma forma el cubo grande?

      Comprueba que has entendido el enunciado.

      ¿Cuántas pegatinas ha comprado Marta? ¿Ha usado alguna?

      ¿Qué quiere hacer con las que quedan? ¿Qué te preguntan?

      Piensa en el camino que vas a seguir para resolver el problema. ¿Qué necesitas saber?

      ¿Por dónde te parece que debes empezar?

      — Creo que comenzaré calculando cúantas pegatinas compró: 5 hojas de 40 pegatinas → 5 · 40 = 200 pegatinas compró.

      ¿Te vendría bien saber cuántas pegatinas ha gastado ya? ¿Cuántas le quedan entonces?

      — Ha decorado un cubo de 6 caras, y en cada cara ha usado 32 = 9 pegatinas: Pegatinas usadas: 9 · 6 = 54 pegatinas. Por tanto, le quedan 200 – 54 = 146 pegatinas.

      ¿Y cómo decides ahora si las 146 pegatinas que le quedan son suficientes para decorar el cubo grande?

      — Primero tengo que saber cuántas necesita para el cubo grande, que tiene 6 caras con 6 · 6 cuadraditos por cara:

      Necesita 6 · 6 · 6 = 63 = 216 pegatinas, que son más que 146.  ¡No tiene suficientes!

      Solución: A Marta no le quedan suficientes pegatinas para decorar el cubo grande

      Resuelve problemas

       

      1. Un hortelano planta lechugas en una parcela de su huerta. Las distribuye en 25 surcos y en cada surco pone 25 lechugas. ¿Cuántas plantas ha colocado?

      1. Un cine de verano dispone de 625 sillas distribuidas en igual número de filas y de columnas. ¿Cuántas sillas hay en cada fila?

      1. Una finca cuadrada tiene 900 metros cuadrados de superficie. ¿Cuántos metros lineales de alambrada habría que comprar para cercarla?

      1. Un paquete de igual longitud, anchura y altura, contiene 1 000 terrones de azúcar de un centímetro de arista. ¿Cuáles son las dimensiones del paquete?

      1. Supón que construimos estas dos estructuras con cubos de madera de 1 cm de arista (¡Ojo! Los dibujos no están hechos con la misma proporción):

      a) Una placa cuadrada de 1 000 cm de lado.

      b) Un bloque cúbico de1 000 cm de lado.100 cm de arista.

      ¿Cuál de las dos crees que pesaría más? Razona tu respuesta.

      1. ¿Cuántos padres y madres tenían entre todos tus tatarabuelos?

      1. Observa el cubo de la ilustración formado por 5 × 5 × 5 cubitos unitarios.

      a) Supón que lo pintamos de rojo. ¿Cuántos cubitos unitarios habrían quedado parcialmente pintados?

      b) Supón que lo queremos hacer mas grande, recubriéndolo completamente con una capa de cubitos verdes. ¿Cuántos cubitos verdes necesitaríamos?

       

      Problemas “+””

       

      1. Se ha solado una habitación de 6 m × 6 m con baldosas cuadradas que se venden en paquetes de 12. ¿Cuál es el tamaño de las baldosas, sabiendo que se han necesitado 34 paquetes, que no se ha partido ninguna, y que han sobrado unas pocas?

      Si han comprado 12 · 34 = 408 baldosas, ¿cuántas filas de baldosas se han colocado?

      1. Alberto les cuenta un cotilleo a sus amigos Nacho y Sara.

      Diez minutos después, Nacho se lo ha contado ya a Raquel y a Marta, y Sara, a Rosa y a Pablo.

      Pasados otros diez minutos, cada uno de estos últimos se lo ha contado a otras dos personas.

      Si la difusión del cotilleo sigue al mismo ritmo, ¿cuántas personas lo sabrán dos horas después de que se enteraran Nacho y Sara?

      1. El suelo de una habitación cuadrada está enlosado con 484 baldosas de 15 cm de lado. Son todas blancas, excepto las que están a 15 cm de la pared, que forman un marco decorativo de color rojo como se ve en este dibujo:

      ¿Cuántas baldosas rojas hay en ese suelo?

      2. Potencias y raíces
      2. Potencias y raíces
      Sin sonido de fondo
      Logo

      Taller de matemáticas

      ​​​
      Lee, reflexiona y deduce

      El mundo de los números presenta múltiples relaciones, algunas tan sorprendentes que parecen envueltas en una aureola de magia. Como ejemplo, te mostramos las siguientes:

      • En la suma de los números impares, encontramos la suma de los números cúbicos:

      • •Averigua qué porción de la suma anterior has de tomar para obtener 53 = 125.

       

      • Como consecuencia de lo anterior, y teniendo en cuenta esto que vimos en las primeras páginas de la unidad:

      62 = 36 = 1 + 3 + 5 + 7 + 9 + 11

      aparece una sorprendente relación entre algunos números cuadrados y los números cúbicos:


      62 = 36 = 1 + 3 + 5 + 7 + 9 + 11 = 13 + 23 + 33

      62 = 36 = (1 + 2 + 3)2 = 13 + 23 + 33

      • •Comprueba que 13 + 23 + 33 + 43 es igual a un número cuadrado.
      • Busca otro número cuadrado que se pueda expresar como suma de cubos.

      Infórmate

      Números en las computadoras

      Ya sabes que nosotros, para escribir los números, utilizamos el sistema decimal, con diez signos, del 0 al 9.

      Los ordenadores y las calculadoras, en su lenguaje interno, escriben los números en el sistema binario; es decir, utilizando solo dos signos, el 0 y el 1.

      • Estudia y completa las tablas en tu cuaderno, siguiendo la lógica de las primeras filas. Cuando hayas terminado, habrás traducido al sistema binario los primeros quince números naturales.
        ÓRDENES DE UNIDADES
        23 22 21 20
        8 4 2 1
      0 0 0 0 0
      1 0 0 0 1
      2 0 0 1 0
      3 0 0 1 1
      4 0 1 0 0
      5 0 1 0 1
      6 0 1 1 0
      7        
        ÓRDENES DE UNIDADES
        23 22 21 20
        8 4 2 1
      8        
      9        
      10 1 0 1 0
      11        
      12        
      13        
      14        
      15 1 1 1 1

      Entrénate resolviendo problemas ​​​

      Tantea, ponte ejemplos

      • Tengo tres cajas idénticas. Una contiene caramelos de naranja; otra, caramelos de limón, y la tercera contiene una mezcla de caramelos de naranja y de limón. Están etiquetadas con estas referencias, pero ninguna caja lleva la etiqueta que le corresponde.

      NN → Solo caramelos de naranja. LL → Solo caramelos de limón. NL → Caramelos de naranja y de limón.

      Raquel dice que si me da una caja y yo saco un caramelo y se lo enseño, puede adivinar el contenido de todas las cajas.

      Si crees que es cierto lo que dice Raquel, explica cómo lo consigue.

      • Divide esta figura en cuatro partes, todas ellas de igual forma y tamaño.

      Autoevaluación ​​​

      1. Expresa en forma de potencia

      a) 5 · 5 · 5 · 5 =

      b) 10 · 10 · 10 =

      c) a · a · a · a · a =

      d) m · m =

      1. Calcula.

      a) 26 =                b) 53 =

      c) 72 =                c) 106 =

      1. Completa.

      a) 2 = 8               b) 2 = 81

      1. Completa esta tabla.
      PROPIEDADES DE LAS POTENCIAS
      La potencia de un producto es igual al producto de las potencias de los factores. (a · b)n = an · bn
      La potencia de un cociente es igual al cociente de las potencias del dividendo y del divisor.
      Para multiplicar dos potencias de la misma base, se suman los exponentes.
      Para dividir... am : an = am – n
      1. Reduce a una sola potencia.

      a) a3 · a2 =    b) x5 : x4 =      c) (a3)4 =

      1. Calcula por el camino más corto.

      a) 24 · 54 

         

      b) 183 : 93 =

      1. Completa.

      a) x3 · y3 =  ( · )              b) x4 : y4 = ( : )

      1. Reduce.

      a) (x5 · x2) : x 4

      b) (a5)2 : (a2)3

      1. Completa.

      a) √36 =                   b) √400 =                   c) √10000 =
      d) √  = 3                  e) √ =8                  f ) √ = 30

      1. Calcula con lápiz y papel la raíz cuadrada entera de 2 920. Después, comprueba con la calculadora si el resultado es correcto.

      1. ¿Cuántos dados de madera, de 1 cm de arista, hay en 10 paquetes como el que ves en la ilustración?

      ,
      has completado el tema!

      A continuación te mostramos el tiempo empleado y el número de aciertos.

      Tiempo Utilizado

      Calificación

      1. 1
      2. 2
      3. 3
      4. 4
      5. 5
      6. 6
      7. 7
        Borrador
        Editor de texto enriquecido
        cerrar