tester

Use of cookies

We use cookies to improve and analyse your browsing experience on our web. You can accept these cookies, reject them or choose your settings by clicking on the corresponding buttons. Please note that rejecting cookies may affect your browsing experience. For more information you can consult our Cookies policy.

Configure cookies

Cookies are an essential part of how our web works. The main goal of cookies is to make your browsing experience more comfortable and efficient and to improve our services and the web itself.
Here you can find all the information about the cookies we use and you can activate and/or deactivate them according to your preferences, except for those cookies that are strictly necessary for the operation of the web. Blocking some cookies may affect your experience on the web and how the site works. For more information you can visit our Cookie Policy.

Strictly necessary (technical) cookies

These Cookies are necessary for the web to function and cannot be disabled on our systems. They are generally only set up in response to actions you may take such as requesting services, setting your privacy preferences, logging in or completing forms. You can set your browser to block or warn you about these cookies, but some parts of the web will not work. Information about Cookies.

Analytical cookies

These Cookies allow us to count the number of visits and traffic sources so that we can measure and improve the performance of our site. They help us to find out which pages are the most popular and least popular, and to see how visitors move around the web. All information collected by these Cookies is aggregated and therefore anonymous. If you do not allow these Cookies we will not know when you visited our web. Information about Cookies.

Third party cookies

These cookies are used to analyse your activity in order to show you personalised advertisements. Information about Cookies.

Accept Decline Configure cookies Confirm selected
Search
×
Notes
Search
There are no notes
  • Mechanisms
  • To customise Pencil press Alt + Down Arrow
  • To customise Highlighter press Alt + Down Arrow

    Change theme

    Error - please check your internet connection...
    Back

    Blink Help

    x
    Error - please check your internet connection...

    How can we help you?

    No results

    View full manual

    Couldn't find what you were looking for?

    Please describe the issue you are experiencing and provide as many details as possible. Let us know the book, class, access device, licence code, username, used browser or if it occcurs in our app:

    Thickness:
    Font size:
    Filter
      No resources found
      Font size:
      Revision mode

      Revision mode

      Mechanisms
      Structures
      Without background sound
      Logo

       

      7. Mechanisms

      /useruploads/ctx/a/54863240/r/s/14743390/AU-0S1TE1-05-033.mp3?idcurso=994000Talking book

      Structures bear forces statically, that is, without moving. Mechanisms, on the other hand, allow objects to move. They transmit and transform force and motion from a motor to a receptor. They make work easier and more comfortable for human beings.

      7.1. Linear transmission of motion

      /useruploads/ctx/a/54863240/r/s/14743390/AU-0S1TE1-05-034.mp3?idcurso=994000Talking book

      Linear transmission mechanisms transmit motion and force through a motor to another point.

      Levers

      A lever is a rigid bar that turns around a point called a fulcrum. At one end of the bar, force (F) is applied to move a resistance or load (R) at the other end of the bar.

      There are three types of levers: Class 1, Class 2 and Class 3.

      The chain and gears on your bicycle, the gears of an old clock, a seesaw, the pulley of a well are all examples of simple mechanisms and form parts of many objects.
      We say the lever is in equilibrium when the forces acting on opposite ends of a lever are equal, that is: the result of the force (F) multiplied by the distance (d) from the fulcrum is the same as the result of the load (R) multiplied by the distance (r) from the fulcrum. We can express this mathematically as the Law of the Lever:


       

      F x d = R x r

       

      Class 1 Class 2 Class 3

      The fulcrum is between the force and the resistance.

      image

      The resistance is between the fulcrum and the force.

      image

      The force is between the fulcrum and the resistance.

      image

      The effect of the force applied is increased or decreased.

      image

      The effect of the force applied is always increased (d > r).

      image

      The effect of the force applied is always decreased ( d < r).

      image

      Pulleys






      image
      Fixed pulley

      A pulley is a wheel with a groove that turns on an axis. It is fixed to a solid surface. There is a rope or a chain inside the groove that allows you to lift objects easily by apply a force (F) against a resistance (R).

      The pulley is balanced when the force we apply F equals the load R.

      F = R

      It allows us to lift and lower loads easily and is used in wells, simple cranes and gym equipment.

       

      Movable pulley






      image
      Movable pulley

      This is a set of two pulleys, one fixed and another with linear movement. It is balanced when:

       
      image
       

      With this system, we only need have the force to lift the same weight as with a fixed pulley.

      Compound pulley systems

      This is a special combination of fixed and movable pulleys.

      The more pulleys we have, the more complex the mechanism, but the easier it is to lift the load.

      Look at these two compound pulley systems (n is the number of movable pulleys):

      image

      Movable and compound pulleys can be used for lifts and cranes.

      7.2. Rotary transmission

      /useruploads/ctx/a/54863240/r/s/14743390/AU-0S1TE1-05-035.mp3?idcurso=994000Talking book

      Wheels and belts

      These are systems where two or more wheels are in contact, directly or with a belt.

      Friction wheels

       





      image

      Two wheels are in direct conduct: one of the wheels is called the driver, because as it moves, it drives the other wheel which is called the driven. Each wheel moves in a different direction.

      Uses: Friction wheels are very common in industry, for example in making and transferring sheets of metal and rolls of paper.

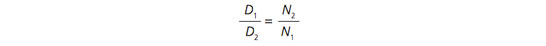
      Pulleys with belts






      image

      Two wheels are at a certain distance from each other. Their axes are parallel to each other and they turn together with a belt.

      They turn in the same direction because the belt, which is fixed to both wheels, transfers the turn to the wheels.

      Uses: Industrial machines, washing machines and drills.

      The relationship between the speeds of the two wheels depends on the relative size of the wheels, expressed through the following equation:

      image

      D1 and D2 are the diameters; N1 the speed of the driver; and N2 is the speed of the driven.

      Interlocking gears






      image

      These are sets of wheels with teeth that match each other so that one wheel moves another. The teeth must all have the same shape and size. The rotary movement of axis 1 transmits to axis 2 through the gears 1 and 2 on the axes. Each gear turns in a different direction.

      Uses: Industrial and car engines, home appliances such as drills, electric blenders and toys.

      Sprockets with chains






      image

      These are sets of two wheels with teeth on parallel axes, at a distance from each other. They turn at the same time with a chain or belt with teeth which is fixed to the wheels. The chain transmits the rotary motion of sprocket 1 to sprocket 2. They both turn in the same direction.

      Uses: Industrial machines, engines and motorbikes.

      The relationship between the speeds depends on the relative size of the wheels, expressed through this equation:

      image

      Z1 and Z2 are the number of teeth, and N1 and N2, are the speeds.

      7.3. Transformation of motion

      /useruploads/ctx/a/54863240/r/s/14743390/AU-0S1TE1-05-036.mp3?idcurso=994000Talking book

      Some mechanisms transform rotary motion into linear motion or viceversa.

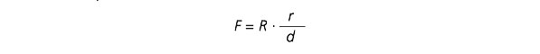
      Winch and crank mechanism






      image

      A crank is a bar that turns an axis. You need less force to turn the winch with a crank that to turn the winch directly. The mechanism uses a winch, which is a cylinder that turns on an axis, to pull an object. A winch is balanced when:

      F ∙ d = R ∙ r

      So the load equals:

      image

      Uses: Cranes, coffee grinders, etc.

      Rack and pinion mechanism

      image

      A pinion is a wheel with teeth that interlock with a rack, which is a bar with teeth. When the wheel turns the bar moves in a linear direction. This mechanism transfers the rotary movement of the wheel into the linear motion of the bar. The mechanism can also be reversed.

      Uses: Corkscrews, steering wheels, etc.

      Crank and rod mechanism






      image
      Corkscrew

      The crank turns, which moves the rod. The rod is fixed to the crank at one end, and at the other end to something that makes a reciprocating movement. As the wheel turns, the crank transforms rotary movement to the rod, which moves back and forth.

      This system also works the other way around. That is, the linear motion of the crank transforms into a rotary movement.

      image
      image
      Internal combustion engine

       

      Uses: This mechanism was important when making the first steam engines; nowadays we use it in internal combustion engines, windscreen wipers and power tools.

       

       

       

       
      Mechanisms
      Structures
      Without background sound
      Logo

      Activity 39

      Say what kind of lever each of the following technological objects is:

      Objeto

      Tipo de palanca

      Esquema

      Wheelbarrow

       

       

       

      Balance

       

       

      Ice bucket tong

       

       

      Nutcracker

       

       

      Pliers

      Broom

       

      Done
      Mechanisms
      Structures
      Without background sound
      Logo

      Activity 40

      Look at the images of a fixed pulley and a movable pulley. What are these mechanisms used for?

       

      Type of pulley

      Uses

      Applications

       

       

       

       

      Lift and download charges easily

       

       

       

       

      Lift and download charges easily

      Done
      Mechanisms
      Structures
      Without background sound
      Logo

      Activity 41

      Complete the following sentence in your notebook:

      A system of more than two pulleys is called a  pulley system. It is made up of groups of pulleys: and . The pulleys we have, the it is to lift the load although the system is more complex.

        fixed two easier movable more compound

      Done

      ,
      You have completed the lesson!

      Below is the time you have spent on the activity and the score you obtained.

      Time spent

      Score

      1. 1
      2. 2
      3. 3
      4. 4
        Eraser
        Rich text editor
        close