Gases a alta presión
Las leyes de los gases se cumplen solo para gases sometidos a bajas presiones y cuya temperatura no sea demasiado baja. Si un gas se somete a una presión muy alta, su comportamiento se desvía mucho del que predicen las fórmulas matemáticas y puede incluso licuarse, aunque la temperatura esté alejada de su punto de ebullición.
Oxígeno medicinal. El oxígeno para uso médico se almacena en botellas a alta presión.
La facilidad con la que los gases se comprimen y se expanden ha permitido estudiar la relación entre la presión, el volumen y la temperatura a la que se encuentra un gas y expresarla mediante fórmulas matemáticas. Este estudio comenzó en el siglo xvII, cuando se constató que el aire y otros vapores obtenidos en distintos procesos químicos eran materia.
1 Ley de Boyle
Esta ley fue publicada en 1622 por el químico irlandés Robert Boyle.
Observó que al duplicar la presión de un gas, su volumen se reducía a la mitad. Realizando más medidas, llegó a la conclusión de que el volumen y la presión son inversamente proporcionales.
A finales del siglo xvII, el francés Edmé Mariotte redescubrió la ley, añadiendo la condición de que la temperatura debía ser constante. La ley de Boyle se expresa matemáticamente mediante una fórmula, obtenida a partir de los datos experimentales.


Ley de Boyle. La presión y el volumen son inversamente proporcionales.
k es un número que depende de la temperatura y de la cantidad de gas, y que se calcula a partir de los datos de la gráfica. Su unidad en el Sistema Internacional es el Pa · m3.
Con la ley de Boyle se calcula la presión o el volumen de un gas, conociendo k y la otra magnitud. Fíjate cómo se hace.
Observa y aprende
- El comportamiento de un gas a cierta temperatura se rige por la fórmula p · V = 200 Pa · m3. Si ocupa un volumen de 250 cm3, ¿a qué presión se encuentra?
Dado que trabajamos en unidades del SI, lo primero que haremos será expresar el volumen en m3. Para ello, tendremos en cuenta la equivalencia:

Para calcular la presión, debemos despejar ahora de la fórmula que nos da el enunciado, que es un caso particular de la ley de Boyle. Por tanto, sería:

Aplicando la ley de Boyle, hemos calculado la presión de un gas a partir del volumen que ocupa.
- La Ley de Boyle es experimental. La teoría cinética, que es posterior, ¿está de acuerdo con ella? Justifica tu respuesta.
- El comportamiento de un gas a una cierta temperatura se rige por la fórmula p · V = 8, en unidades del SI. ¿Qué presión ejerce cuando ocupa un volumen de 250 L? ¿Qué volumen ocupa si su presión es de 20 Pa?
2 Otras leyes de los gases
A principios del siglo xIx, el químico francés Joseph Louis Gay-Lussac publicó dos leyes sobre el comportamiento de los gases.
Una de ellas había sido descubierta años antes por el también francés Jacques Charles.
Utilizando un gas en un recipiente cerrado con un pistón móvil, Charles y posteriormente Gay-Lussac comprobaron que, al aumentar la temperatura, el volumen también se incrementaba en la misma proporción; temperatura y volumen son directamente proporcionales cuando la presión se mantiene constante. La fórmula que expresa la ley de Charles se puede obtener experimentalmente.

En otro experimento similar, Gay-Lussac mantuvo fijo el volumen mediante un recipiente herméticamente cerrado y observó una proporción directa entre la temperatura del gas y su presión. La ley de Gay-Lussac también se obtiene a partir de los datos experimentales.

Midiendo en frío
Una de las operaciones habituales de los usuarios de coches o motocicletas consiste en controlar la presión de los neumáticos del vehículo. Se trata de una operación simple, en la cual tan solo hay que tener en cuenta cuál es el valor recomendado por el fabricante y en qué condiciones debe realizarse la medida. Respecto a esto último, debemos tener en cuenta que los valores de presión son mayores si la medida se realiza con el neumático en caliente, es decir, cuando el vehículo ha estado circulando, debido al calentamiento del aire en su interior. Por eso se recomienda realizar la medida antes de comenzar a circular.
Medida de presión. La presión de los neumáticos debe medirse de forma periódica.
La temperatura debe expresarse en kelvin (K).
La ley de Charles y la ley de Gay-Lussac se utilizan para realizar cálculos de la misma forma que la ley de Boyle. Para ello, y una vez que sabemos que se cumplen las condiciones en las que es válida cada ley, necesitamos conocer el valor de una de las magnitudes y el de la constante para poder hallar el valor de la otra magnitud.
- A una presión determinada, un gas ocupa un volumen de 4 L a la temperatura de 150 K. Si la temperatura aumenta a 250 K, ¿qué volumen ocupará la misma cantidad de gas? ¿En qué ley te basas para realizar el cálculo?
- Según las leyes de los gases, es falso el siguiente enunciado: "Si la presión es constante, el producto del volumen por la temperatura no varía". Explica por qué.
3 Ecuación general de los gases
Gases perfectos
Los gases a baja presión y alta temperatura cumplen exactamente la ecuación general de los gases. Se dice que son gases perfectos o ideales. Si se incrementa mucho la presión o baja excesivamente la temperatura, la ecuación general ya no se cumple; esto es debido a que aparecen fuerzas de atracción entre las partículas del gas, alterando de este modo el comportamiento que predice la teoría cinética para el estado gaseoso.
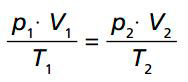
El estado de un gas está caracterizado por el volumen que ocupa, la presión a la que está sometido y la temperatura a la que se encuentra. Las leyes de los gases que conoces relacionan dos de estas magnitudes, suponiendo que la tercera se mantiene constante.
Sin embargo, en muchos sistemas materiales en estado gaseoso se producen variaciones en los valores de las tres magnitudes simultáneamente. En estos casos, la ley que se aplica es la llamada ecuación general de los gases, la cual nos dice que, para una misma cantidad de un gas, se verifica la relación:

Las leyes de Boyle, Charles y Gay-Lussac, por tanto, son casos particulares de la ecuación general de los gases. Fíjate bien:

Leyes de los gases. Estas tres leyes se obtienes a partir de la ecuación general de los gases.
Observa y aprende
- Una cierta cantidad de gas nitrógeno se encuentra a 30 ºC de temperatura y está sometido a una presión de 120 Pa, ocupando un volumen total de 2 L. Calcula a qué presión hay que someter la misma cantidad de gas para que ocupe un volumen de 5 L cuando su temperatura es de 80 º C.
Expresamos los valores de temperatura en kelvin. Para ello, sumamos 273,15:
T1 = (30 + 273,15) K = 303,15 K; T2 = (80 + 273,15) K = 353,15 K
Por otra parte, de acuerdo con la ecuación general de los gases, si la cantidad de gas es la misma, se cumple que:

Así pues, sustituimos los datos anteriores y despejamos, en este caso, la presión p2:

La ecuación general de los gases nos ha permitido calcular el nuevo valor de presión, sabiendo que el producto de presión y volumen, dividido por temperatura, es constante para la misma cantidad de gas.
- Un gas a 45º C de temperatura está confinado en un recipiente de 1 L y ejerce una presión de 2 HPa. Calcula el volumen del recipiente necesario para que la misma cantidad de gas enfriado a 35º C ejerza una presión de 50 Pa.